How To Solve Principle Of Mathematical Induction
So it is not possible to use induction. Show that the basis step is true.

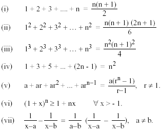
Prove 1 2 3 N N N 1 2 Mathematical Induction
The base step and the inductive step together prove that P k P k 1 P k 2.

How to solve principle of mathematical induction. Show that if any one is true then the next one is true. Show the basis step is true. Proof by induction is a mathematical proof technique.
What we do is assume we know that the proposition is true foran arbitrary special case call itnkand then use this assumption to show that theproposition is true for the next special case ienk 1. Then all are true. If we are to show that P n is true for all integers greater than or equal to.
About Press Copyright Contact us Creators Advertise Developers Terms Privacy Policy Safety How YouTube works Test new features Press Copyright Contact us Creators. The Principle of Mathematical Inductionuses the structure of propositions likethis to develop a proof. Assume the statement is true for.
Mathematical Induction is a special way of proving things. The solution in mathematical induction consists of the following steps. Sign in with Facebook.
The Principle of Mathematical Induction. If the truth of P k implies the truth of P k 1 then the statement P n is true for all n a. Get Notes Here.
Write the statement to be proved as P n where n is the variable in the statement and P is the statement itself. Therefore P n is true for all integers n a. N1 n 1.
Sign in with Office365. Steps to Prove by Mathematical Induction. Provebyinductionsum_ k1 nk 3frac n 2 n1 2 4 provebyinductionsum_ k1 nk k1frac n n1 n2 3 induction-calculator.
It is to be shown that the statement is true for n initial value. Then prove the statement is true for n k1. It has only 2 steps.
Learn how to apply induction to prove the sum formula for every term. That is the statement is true for. Step 1 Consider an initial value for which the statement is true.
P k P k 1 P k P k 1 If you can do that you have used mathematical induction to prove that the property P P is true for any element and therefore every element in the infinite set. Show it is true for the first one. Step 2 Assume the statement is true for any value of n k.
Principle of Mathematical Induction If it is known that some statement is true forn 1 assumption that statement is true fornn 1. The Principle of Mathematical induction is a very common way of proving results within the set of natural numbers or an infinite subset of them. In the link you provided you gave an infinite sum and there is no RHS.
You have proven mathematically that everyone in the world loves puppies. We can compare mathematical induction to. Answered February 28 2021 Author has 24K answers and 3874K answer views You can use math induction only when both sides of equation are given - like prove 1234n n n12.
It is usually used to prove th.

The Second Principle Of Mathematical Induction Screencast 4 2 3 Youtube

Mathematical Induction Examples Solutions Youtube

Ncert Solutions For Class 11 Maths Chapter 4 Principle Of Mathematical Induction Free Pdf Mathematical Induction Math Chapter

Mathematical Induction Practice Problems Youtube
What Is The Principle Of Mathematical Induction Quora

Mathematical Induction For Divisibility Chilimath

Examples Of Mathematical Induction Examples Videos Worksheets Solutions Activities

Principle Of Mathematical Induction Introduction Videos And Examples

Pdf The Principle Of Mathematical Induction A Viable Proof Technique For High School Students Semantic Scholar

Mathematical Induction Cuemath

Proof By Mathematical Induction

Mathematical Induction Topics In Precalculus
Chapter 4 Principle Of Mathematical Induction Ncert Solutions For Class 11 Science Mathematics Cbse Topperlearning

Pdf The Principle Of Mathematical Induction A Viable Proof Technique For High School Students Semantic Scholar

Principle Of Mathematical Induction 5 Amazing Examples

Cbse Class 11 Mathematical Induction Concepts With Solved Examples In Hindi Offered By Unacademy

Ncert Exemplar Class 11 Maths Chapter 4 Principle Of Mathematical Induction Learn Cbse

Principle Of Mathematical Induction Study Material For Iit Jee Askiitians